강릉자이파인베뉴아파트 지도 이미지

강릉자이파인베뉴아파트 55명이 열람하였으며, 0개의 리뷰가 있습니다.

시설명
강릉자이파인베뉴아파트
시도명
강원특별자치도
시군구명
강릉시
소재지도로명주소
강원특별자치도 강릉시 동해대로 2768
소재지지번주소
강원특별자치도 강릉시 내곡동 759
상세위치명
강릉자이파인베뉴아파트
저류조용량
536
법적시설여부
대상
사용용도내용
조경용수
여과처리방법내용
여과기
데이터기준일자
2024-12-06
제공기관코드
4,201,000
제공기관명
강원특별자치도 강릉시
홈페이지 주소
전화번호

블로그 리뷰

  • 강릉자이파인베뉴아파트 | [아파트매매] 강릉자이파인베뉴아파트 매매 101동 84A타입 33평, 고층 · 옵션 좋은 실거주 아파트

    #강릉자이파인베뉴 #강릉자이아파트매매 #강릉부동산 #강릉33평아파트 m.blog.naver.com ​ ​ 강릉자이파인베뉴매매 옵션 좋은 33평 매매 매물 강릉자이파인베뉴매매 강릉자이용비부동산 ✔ 이런 분들께 추천드립니다 ✅ 실거주 목적 매수자 → 옵션 풀세팅 + 관리 상태 좋아 추가 비용 부담 적음 ✅ 신혼부부 / 3~4인 가족...

    강릉자이아파트 전문 강릉자이용비부동산(2026-01-17 10:05:00)

  • 강릉자이파인베뉴아파트 | [강원도 강릉시] 강릉자이파인베뉴 DU953 교체 후기

    번째로 큰 제품입니다...ㄷㄷ) ​ 기본구성으로는 싱크볼, 와이어바스켓, 따내기도면이 포함돼 있습니다! ​ (↓싱크볼 설치 후 사진!!↓) ​ 교체 전 싱크볼 강릉자이파인베뉴 교체 전 싱크볼 사진입니다! ​ 우측 볼록 튀어나온 부분에 수세미망을 걸어 사용 할 수 있는 형태의 싱크볼 입니다! ​ 많은 주방에서 가장 흔하게 볼...

    바보싱크케어(2025-11-21 05:51:00)

  • 강릉자이파인베뉴아파트 | 강릉자이파인베뉴 아파트 경매 강릉자이파인베뉴 매매 급매 2024타경1971

    강원특별자치도 강릉시 내곡동 소재 "남산초등학교" 남서측 인근에 위치하며, 주위는 아파트단지, 근린상가, 학교 등으로 형성된 국도변 아파트 주거지대임. 강릉자이파인베뉴까지 제반 차량출입 가능하며 인근에 버스정류장이 소재하여 대중교통사정 무난함. 부정형 토지로서 완경사지이며, 아파트 건부지로 이용 중임...

    청주 (주)삼성법률경매 김민성팀장(2025-11-16 15:00:00)

  • 강릉자이파인베뉴아파트 | 2024타경1971 강릉 자이 파인베뉴 경매매물 현장답사 정리 (아파트 정보 포함)

    경매번호:2024타경1971 소재지: 강원특별자치도 강릉시 내곡동 759, 강릉자이 파인베뉴 111동 2003호 대지권: 15평, 건물 공급면적: 33평, 건물 전용면적: 25평...7분(5.8km), 안목해변까지 약 13분(7km) 거리에 위치합니다. 아파트가 위치한 강릉-옥계 구간은 7번 국도 중 유일하게 남아 있는 2차선 도로로, 향후 확장...

    ysys0481의 자유시간(2025-11-21 10:35:00)

  • 강릉자이파인베뉴아파트 | [강릉자이부동산=아파트매매]강릉내곡동강릉자이파인베뉴아파트101동23층매매

    자이부동산 ☆ : 네이버 블로그 ●안녕하세요.강릉자이부동산입니다.신속.정확.책임있는 중개서비스로 함께하겠습니다.●강릉시 동해대로 2768,자이상가동 2층 212호(내곡동.자이파인베뉴아파트)[강원강릉가3706-492] 매물수시접수전화상담환영~☎️언제든 전화주세요 blog.naver.com 강릉자이파인베뉴 강원특별자치도...

    ☆강릉자이부동산 ☆(2026-01-15 17:20:00)

  • 강릉자이파인베뉴아파트 | 강릉탄성코트 강릉자이파인베뉴 시공후기

    다만 모서리나 홈통 뒤처럼 모여있는 곳은 조금 더 시간이 걸릴 수 있습니다. 입주청소, 이사 날짜를 정하실 때 참고하실 수 있습니다 ​ 이렇게 강릉자이파인베뉴 아파트 신축 탄성코트 현장이 마무리 되었습니다! ​ 저희 부부탄성은 처음 상담부터 시공, AS까지 직접 하고 있습니다. 베란다에 관련된 모든 상황을 꼼꼼...

    안녕하세요, 부부탄성입니다 ; )(2024-06-25 16:45:00)

  • 강릉자이파인베뉴아파트 | 강릉 자이 파인베뉴 아파트 단열필름 창문 시트지 썬팅 계속 되는 시공 후기

    브랜드로 강릉에서 최초 입주를 시작했는데, 멋진 아파트 답게 창문 시트지 썬팅에 대한 문의도 계속해서 연락 주시고 있습니다. ​ 강릉 자이 파인베뉴 아파트 처음 3월에 단열필름 창문 시트지 썬팅을 처음 시공한 이후로 벌써 몇번째 시공을 다녀왔습니다. ​ 단열필름 썬팅 작업이후 마음에 드셨던 의뢰인께서는 계속...

    송파구 문정동 즐거운부동산 02-443-0277(2024-06-16 13:36:00)

  • 강릉자이파인베뉴아파트 | 강릉피부관리샵 클라리스 스킨랩 내곡 자이점 퀵바디상체관리 받은 후기

    돈까스, 자장, 등등등 이런 면종류와 살찌는 위주로 먹고 있어서 금새 살이 확 찌더라고요. ​ 그래서 이러면 굴러 다니겠다 싶어서 강릉피부관리샵 검색하던 중 강릉자이파인베뉴아파트 상가에 위치한 클라리스스킨랩에서 퀵바디상체관리를 받아봤어요. ​ ​ 여기는 강릉에 남산초등학교 앞에 있는 자이아파트에 있는 상가...

    wis5132님의 블로그(2025-12-16 15:10:00)

  • 강릉자이파인베뉴아파트 | 강원특별자치도 강릉시 아파트경매 ■강릉자이파인베뉴[공급33평형]■ [2차12/15]

    육박하는 **'황금 대지 지분(15.1평)'**을 품은, 아는 사람만 아는 진정한 보석 같은 물건입니다. 지금부터 그 비밀을 심층 분석해 드립니다. ​ 강릉자이파인베뉴 아파트 경매 핵심 정보 가장 중요한 핵심 정보부터 확인하고 기회를 잡으세요. ​ 사건번호 : 2024타경1971 소재지 : 강원특별자치도 강릉시 내곡동 759, 강릉...

    bumblebee11111님의 블로그(2025-11-17 11:45:00)

  • 강릉자이파인베뉴아파트 | 강릉 층간소음매트 강릉자이파인베뉴 아이에게 안전한 육아 공간

    만들어주지 않는다면 층간소음 문제와 미끄러짐 사고 등 여러가지 복잡한 고민에 휩싸이게 된답니다! Before ​ 최근에 저희는 강원도 강릉 내곡동에 위치한 강릉자이파인베뉴 아파트에 방문하였는데요! ​ 넓은 거실부터 쭉 연결된 복도와 주방까지 생활의 중심을 보다 안정적이면서 고요하고 ​ Before ​ 그리고 미끄러짐...

    토리매트(2025-12-05 11:00:00)

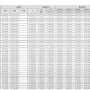
일별 방문 통계

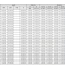
월별 방문 통계

날씨

리뷰 (0)

등록된 리뷰가 없습니다.